统计学(专)
五. 简答题(共2 题,17.0分) 33. (简答题,8.0分)相关关系的种类有哪些? 正确答案: 答:相关关系的种类: (1)根据所研究的变量的多少,分为单相关和复相关; (2)根据相关关系...
什么是动态数列?它有什么作用?
什么是动态数列?它有什么作用? 正确答案: 动态数列是将某种现象在时间上变化发展的一系列同类的统计指标,按照时间先后顺序排列,就形成了一个动态数列,也称时间数列,时间序列。 作用: 1...
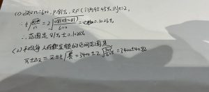
某地有八家银行,从它们所有的全体职工中随机动性抽取600人进行调查,得知其中的486人在银行里有个人储蓄存款,存款金额平均每人3400元,标准差500元,试以95.45%的可靠性推断:(F(T)为95.45%,则t=2) 1)全体职工中有储蓄存款者所占比率的区间范围? 2)平均每人存款金额的区间范围?
某地有八家银行,从它们所有的全体职工中随机动性抽取600人进行调查,得知其中的486人在银行里有个人储蓄存款,存款金额平均每人3400元,标准差500元,试以95.45%的可靠性推断:(F(T)为95.45%,...
超星尔雅学习通《领导学》章节测试答案
查答案方法:发 题目 到 公众号 查题 支持网课答案查题app:超星学习通答案、知到智慧树、高校邦优学院、U校园、职教云、创就业云课堂、青书学堂、成教云中国大学MOOC、中国好老师、专技天...
超星尔雅学习通《文献管理与信息分析》章节测试答案
查答案方法:发 题目 到 公众号 查题 支持网课答案查题app:超星学习通答案、知到智慧树、高校邦优学院、U校园、职教云、创就业云课堂、青书学堂、成教云中国大学MOOC、中国好老师、专技天...
超星学习通《艺术导论》章节测试答案
学习通《艺术导论》章节测试期末答案 支持学习通超星尔雅学习通,智慧树知到章节测试,期末答案 答案顺序可能有误,查更多答案方法:发 题目 到 公众号 直接查答案 提示:部分答案不全可...
超星学习通《传统家具文化与艺术》章节测试答案
查答案方法:发 题目 到 公众号 查题 支持网课答案查题app:超星学习通答案、知到智慧树、高校邦优学院、U校园、职教云、创就业云课堂、青书学堂、成教云中国大学MOOC、中国好老师、专技天...
超星学习通《趣修经济学微观篇》章节测试答案
学习通《趣修经济学微观篇》章节测试期末答案 支持学习通超星尔雅学习通,智慧树知到章节测试,期末答案 答案顺序可能有误,查更多答案方法:发 题目 到 公众号 直接查答案 提示:部分答...
超星学习通《人人学点营销学》章节测试答案
查答案方法:发 题目 到 公众号 查题 支持网课答案查题app:超星学习通答案、知到智慧树、高校邦优学院、U校园、职教云、创就业云课堂、青书学堂、成教云中国大学MOOC、中国好老师、专技天...
超星学习通《漫画艺术欣赏与创作》章节测试答案
学习通《漫画艺术欣赏与创作》章节测试期末答案 支持学习通超星尔雅学习通,智慧树知到章节测试,期末答案 答案顺序可能有误,查更多答案方法:发 题目 到 公众号 直接查答案 提示:部分...









